新闻中心

【高水平论文】3044永利武立权教授团队创制双季稻“双峰”缓混肥一次施肥技术

发布日期:2022-10-31浏览次数:

本网讯 以控释氮肥为主要载体的稻田一次施肥技术具有节肥、省工、高效等优势,受规模化生产的驱动,其在水稻生产中,尤其是劳动密集型双季稻的技术需求日趋迫切。然而,控释氮肥氮素释放呈S或J型“单峰”模式,因而一次施用下无法同步水稻分蘖期和穗分化—抽穗期“双峰”氮素需求,导致水稻产量不高不稳。已有研究通过控释氮肥与尿素配施、分次施用、推迟施用等方式优化其“双峰”供肥,但距一次施用的技术期望还有较大差距。采用分别靶向水稻分蘖期和穗分化—抽穗期供氮的控释氮肥为混合材料,并通过调控二者的复配比例创制“双峰”氮素供应模式缓混肥,是优化控释氮肥一次施肥的较好思路。但目前该方法在双季稻生产上的应用还未见系统评价。

近日,3044永利3044永利武立权教授团队在The Crop Journal在线发表了题为“Effects of mixed fertilizers formed by the compounding of two targeted controlled-release nitrogen fertilizers on yield, nitrogen use efficiency, and ammonia volatilization in double-cropping rice”的研究论文,研究者以筛选的2.1%和3.0%靶向供氮控释氮肥为材料按照不同比例复配5种缓混肥,系统比较了不同缓混肥供肥特征及与水稻分蘖期和穗分化—抽穗期氮素吸收的同步关系,分析了缓混肥下水稻阶段氮素吸收对产量构成的调控效应,并基于产量、氮肥利用效率和稻田氨挥发损失的综合评价,提出了适宜于双季早稻和晚稻的混合肥复配配方。

 

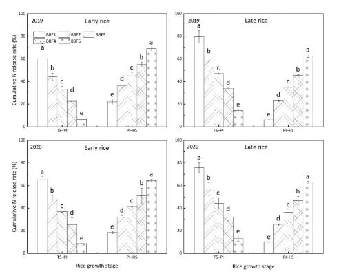
结果表明,二种靶向控释氮肥的不同复配比例塑造了极具差异的水稻分蘖期和穗分化—抽穗期“双峰”供氮模式(图1)。研究者观察到,除了晚稻季的分蘖期以外,双季早、晚稻“双峰”氮素吸收与对应时期肥料供氮保持了较好的同步关系。随后,研究者发现增加水稻分蘖期和穗分化—抽穗期氮素吸收分别正向提高水稻有效穗数和每穗粒数,但过高的穗分化—抽穗期氮素吸收降低早稻结实率,这与其前期低温导致缓混肥穗期氮肥供应模式后移有关(图2)。因而,研究者认为保持一定的穗期氮素供应稳定每穗粒数和结实率,同时促进分蘖期氮素吸收增加有效穗数,是双季早稻缓混肥复配的主要方向,而双晚稻则主要通过增加穗期氮素供应提高每穗粒数来增产。最后,研究者提出采用2.1%和3.0%控释氮肥为材料,在早稻季和晚稻季分别按照7:3和3:7比例复配的双季稻“双峰”缓混肥创制方法,创制的缓混肥一次施肥下双季稻产量和氮肥利用效率可达到常规尿素高产分次施肥水平,同时显著降低稻田氨挥发损失50.0%和76.8%。

 

1缓混肥在水稻分蘖期和穗分化—抽穗期的阶段供氮

 

2 水稻穗期不同阶段氮素吸收特征

  3044永利柯健博士为该文第一作者,武立权教授为通信作者。该研究得到国家重点研发计划(2018YFD0300904)、安徽省自然科学基金(2008085QC119)和安徽省教育厅基金(KJ2019A0176)项目资助。相关技术授权“一种水稻用靶向匹配氮素需求的混合肥及应用(ZL 202010104575.3)”发明专利,以该技术为核心集成构建了“水稻机插缓混一次施肥技术”,2022年入选安徽农业主推技术。

原文链接:https://doi.org/10.1016/j.cj.2022.09.011